今回のトピックはこちら
薬学部の新入生募集停止3学校目
最近の出来事で「薬剤師」に関係がある記事について、編集者の独断と偏見でピックアップして毎週月曜日の朝8時ごろに配信します❗️
独断と偏見なのでご意見は受け付けません!
すき間時間を利用して、サクッと情報をGETしましょう!
※ニュースの情報をご活用される場合は、必ず皆さんの責任の元で情報を取得し、日々の業務にご活用ください
スポンサー&協賛企業・団体のご紹介!
薬剤師の“わ”の活動を応援して下さる企業様や団体様のお力添えにより、毎回のセミナー運営やその他の活動が行えています!
随時スポンサーは募集しております😌
薬剤師の“わ” お勧め書籍!
薬剤師の“わ”で講師をして頂いた先生が出版されている書籍をご紹介します!
薬学部の新入生募集停止3学校目
たびたび書いている薬学部・薬科大学の新入生募集停止に関する記事
2025年度からの入学者募集を停止した姫路獨協大学
募集停止はしていないが、入学定員充足率が低く公立化により入学者を増やそうとして、最終的には法人変更で薬学部を存続させた千葉科学大学
薬学部の入学定員を減らして2027年春より新潟科学大学に大学名を変更する新潟薬科大学
2026年度以降の新入生募集を停止する医療創生大学
2027年度から共学化することで薬学部も共学になり武庫川大学になる武庫川女子大学
新入生募集を停止したり、停止はしていないが入学定員充足率の影響で体制変更したりと、様々な大学が対応を余儀なくされていますが
今回、新たな大学が新入生の募集停止を発表しました。
薬剤師の“わ”ニュースは音声データでも配信しています!
城西国際大学が学生募集停止
今回、城西国際大学が薬学部医療薬学科の学生募集停止を発表しました。
募集停止は2027年度以降の学生になります。
城西国際大学は、平成に起きた薬学部の新設ラッシュの2004年度に医療薬学科を開設した大学になります。
前出の姫路獨協大学は2006年、医療創生大学はいわき明星大学として2007年に薬学部を新設しています。
新設の薬学部はあまり学生が集まらないようです。
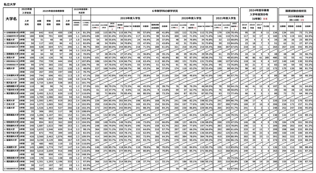
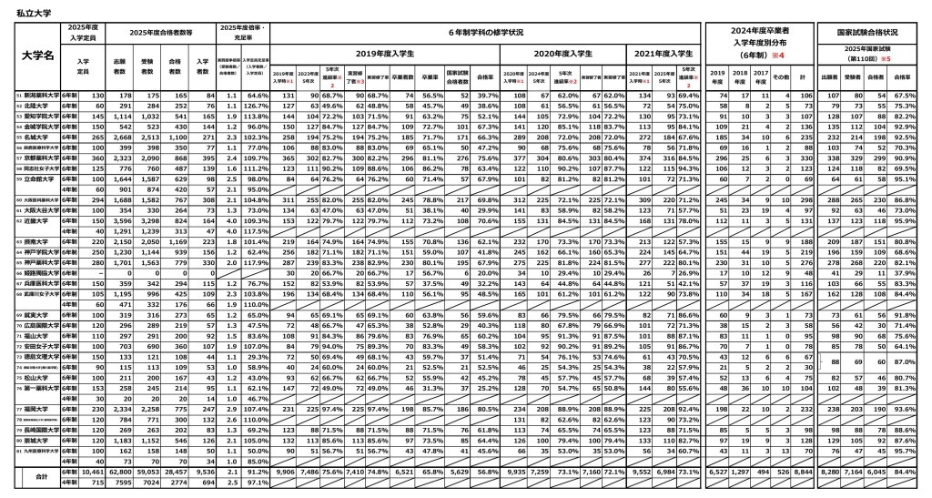
文部科学省が発表している「薬学部における修学状況等」によると
入学者数を入学定員数で割った「入学定員充足率」が、姫路獨協大学は33.3%、医療創生大学は70.0%
そして、今回募集停止を発表した城西国際大学は37.3%となっています。
入学定員充足率だけで判断はできませんが、国立と公立の薬学部は共に100%を超えています。
近年は少子化の影響なのか、入学定員充足率の基準が厳格化していて、充足率が著しく低い場合は、学部新設の不認可・定員削減・改善計画の提出の対応が求められるようです。
他にも入学定員充足率が50%を切っている大学があるので、今後も入学者募集の停止や何らかの対応をしてくる大学が引き続き現れそうです。




詳しくはこちら
・薬学部 医療薬学科 2027年度(令和9年度)以降の学生募集停止について:城西国際大学
新サービスのご紹介

薬剤師の“わ”では、“勝手に”薬剤師の生涯教育をサポートすることを活動の“使命”だと考え
リアルセミナーの参加費を安くし、オンラインセミナーは無料で開催しています。
当然、毎回のセミナーでは、日本薬剤師研修センターの単位が取得できます!

※薬剤師の“わ”アンケート調査結果より
しかし、薬剤師の“わ”が行ったアンケート調査結果より、セミナー等への参加にお金をなかなか使えないことも分かりました🤔
そこで、2025年6月より「新サポート」をスタートします!
リアルセミナー参加でポイントをゲットして
3ポイントで「図書カード1,000円分」プレゼント
5ポイントでリアルセミナー「1回参加無料」の権利をプレゼントします!
薬剤師の“わ”公式LINEを登録して頂き、毎回のリアルセミナー参加でポイントをゲットしましょう!
👆薬剤師の“わ”公式LINEとお友だちになってね😆
この取り組みは、スポンサー様のご支援のおか
働きたい薬局が見つかればお繋ぎします。
ご質問等は、薬剤師の“わ”公式LINEにお願いします😃














